Emulsiones VINNAPAS VAE en aplicaciones de envasado y procesamiento de papel
December 24, 2025
En el sector del embalaje de papel y el posprocesamiento, la estabilidad del rendimiento de los adhesivos influye directamente en la eficiencia de la producción y la calidad del producto. Con la creciente popularidad de los sistemas a base de agua en la industria del embalaje, las emulsiones VAE se han convertido gradualmente en la opción preferida para cajas de cartón, cartones de papel y bolsas de papel gracias a su excelente rendimiento general. La serie VINNAPAS de emulsiones VAE, gracias a su variado contenido de etileno y diseños de formulación, puede cubrir una amplia gama de aplicaciones de embalaje de papel.

1. Características técnicas y ventajas principales de las emulsiones VAE VINNAPAS
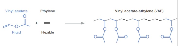
La emulsión VINNAPAS VAE es una dispersión polimérica de alto rendimiento cuya estructura molecular combina las ventajas del acetato de vinilo (que proporciona cohesión y dureza) y los monómeros de etileno (que proporcionan flexibilidad y adhesión). Esta estructura química única le confiere las siguientes ventajas técnicas fundamentales en el procesamiento de envases de papel:
- Rendimiento equilibrado: Las emulsiones VAE logran un buen equilibrio entre fuerza adhesiva, cohesión y flexibilidad, garantizando una resistencia de unión estable a diferentes temperaturas ambientales.
- Excelente adhesión al sustrato: Esta serie de productos no sólo es adecuada para papel y cartón tradicionales, estucados o no, sino que también tiene una excelente humectación y adhesión a diversos "sustratos difíciles de unir", como películas de plástico.
- Velocidad de curado extremadamente rápida: En las líneas de producción automatizadas de alta velocidad, la velocidad de curado afecta directamente la productividad. WACKER VAE ofrece una velocidad de secado muy alta, lo que permite satisfacer los requisitos de alta velocidad de los equipos de envasado modernos.
- Buena humectabilidad y flexibilidad a bajas temperaturas: Incluso en entornos de baja temperatura, el recubrimiento VAE puede mantener una buena flexibilidad, evitando que la capa adhesiva se vuelva quebradiza y tiene excelentes capacidades de penetración y propagación sobre la superficie del sustrato.
2. Principales escenarios de aplicación de WACKER VAE en el procesamiento de envases de papel
Sellado de cajas de papel y cartón: Esta es la aplicación más común de las emulsiones VAE. Ya se trate de cajas plegables sencillas o cajas de cartón resistentes, VINNAPAS proporciona suficiente adherencia inicial y resistencia final para garantizar que el embalaje no se deslamine durante el transporte.
Bolsas de papel, bolsas para documentos y sacos de papel: En la fabricación de bolsas de papel, el sellado del fondo y la unión lateral requieren adhesivos con buena trabajabilidad y resistencia al envejecimiento. Emulsiones VAE (como VINNAPAS EP 705 A) garantizar la estabilidad de las costuras en bolsas de papel bajo carga.
- Cartón ondulado y cartón: Las emulsiones VAE se utilizan comúnmente en el procesamiento de cartón corrugado de alto rendimiento, proporcionando una mayor fuerza de unión y resistencia a la humedad que los adhesivos de almidón tradicionales.
- Aplicaciones de laminación: En el proceso de laminación de papel con películas plásticas (como PE, PP, PET) o láminas de aluminio, las emulsiones VAE sirven como base para adhesivos de alto rendimiento, abordando el desafío de unir superficies no polares.
- Procesamiento de cajas plegables: Para cajas de regalo de alta gama, cajas de medicamentos y otros cartones plegables, VAE garantiza que los pliegues no se agrieten y exhibe una excelente estabilidad mecánica durante el proceso de formación.
3. Cumplimiento ambiental y garantía de seguridad alimentaria
- Seguridad en el contacto con alimentos: Las emulsiones VAE VINNAPAS cumplen con las principales regulaciones relevantes para materiales en contacto con alimentos y son adecuadas para la fabricación de diversos adhesivos para envases de alimentos.
- Baja migración y sin plastificantes: La tecnología de WACKER permite la formulación de adhesivos sin plastificantes, con características de baja migración, reduciendo significativamente el riesgo de que los materiales de embalaje contaminen los alimentos o productos farmacéuticos que contienen.
- Sostenibilidad: Algunos modelos de gama alta, como VINNAPAS 920 y VINNAPAS EP 7000, no utilizan APEO (etoxilatos de alquilfenol) en el proceso de producción y tienen un contenido de formaldehído extremadamente bajo, cumpliendo totalmente con los estándares de producción ecológicos y respetuosos con el medio ambiente.
Sitio web: www.elephchem.com
WhatsApp: (+)86 13851435272
Correo electrónico: admin@elephchem.com